CASE 1: Mouse CT imaging with segmentation of adipose tissues

workimg
  • Courtesy of: D.Panetta and P.A. Salvadori, IFC-CNR Pisa, Italy

Research objective: Non-enhanced micro-CT image of a mouse, showing an example of quantitative segmentation (RED = Brown Adipose Tissue - BAT; CYAN = abdominal visceral white adipose tissue - WAT; GREEN - Lungs). 

Animal model: Mouse, 20-25g

Acquisition protocol: 3 min acquisition time, 1 bed position, 55 kVp, 1 mA

Processing and reconstruction protocol: 0.08 mm isotropic voxel size

Biomarker or contrast agent: No tracer applied

CASE 2: Contrast enhanced CT rat imaging

workimg
workimg
  • Courtesy of: D.Panetta and P.A. Salvadori, IFC-CNR Pisa, Italy

Research objective: Rat CT imaging with contrast enhancement

Animal model: Wistar rat, ~300g

Acquisition protocol: 90 s acquisition time, 65 kVp, 1 mA, 1 bed position

Processing and reconstruction protocol: 0.06 mm isotropic voxel size

Biomarker or contrast agent: Continuous infusion of Iomeron(TM), 200 mgI/ml, 24 mL/h, 8 min infusion time; CT imaging time: 0 (basal), 4 min and 8 min after beginning of infusion (3D rendering refers to 4 min)

CASE 3: Rat cardiac study

workimg
workimg
  • Courtesy of: D.Panetta and P.A. Salvadori, IFC-CNR Pisa, Italy

Research objective: Imaging and quantification of cardiac function. Extraction of M-Mode like MPR image to visualise and quantify Left Ventricle Lateral Wall (LVLW), Left Ventricle (LV), Septum (S), Right Ventricle (RV) and Right Ventricle Lateral Wall (RVLW). Segmentation of End-Diastolic (ED) and End-Systolic (ES) to quantify End Diastolic Volume (EDV) of left ventricle, End Systolic Volume (ESV) of left ventricle, Stroke Volume (SV) and Ejection Fraction (EF).

Animal model: Wistar rat, 480g

Acquisition protocol: 4 min acquisition time, 80 kVp, 1 mA, 20000 projections, 12 ms/proj

Processing and reconstruction protocol: 40 gates per R-R interval, 0.24 mm isotropic voxel size

CASE 4: Ex-vivo bone study

workimg
  • Courtesy of: Harbin Medical University, Harbin, China

Research objective: Ex-vivo study for trabecula bone structure

Animal model: Rat femur bone

Acquisition protocol: 112 s acquisition time, 80 kVp, 1 mA, 2000 projections, 1 bed position

Processing and reconstruction protocol: 0.06 mm isotropic voxel size

CASE 5: Mouse lung CT imaging

workimg
  • Courtesy of: Shanxi Medical University, Tianyuan, China

Research objective: Mouse CT lung imaging with automatic software-based gating, without using any hardware signal

Animal model: Mouse, ~25g, under anesthesia with isofluorane gas

Acquisition protocol: 90 s acquisition time, 65 kVp, 1 mA, 1 bed position

Processing and reconstruction protocol: Image processing into end-inspiration phase and end-expiration phase 0.16 mm isotropic voxel size

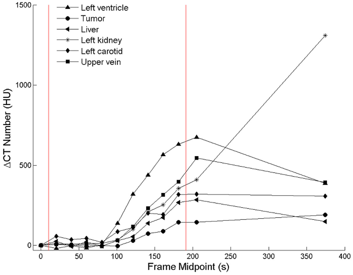
CASE 6: Dynamic 4D CT Enhanced Imaging for Mouse Glioma Model

workimg
workimg
  • Courtesy of: D.Panetta and P.A. Salvadori, IFC-CNR Pisa, Italy

Research objective: Using 4D CT imaging to research morphology of mouse glioma and blood perfusion

Animal model: Mouse, ~25 g

Acquisition protocol: Scan 1 (4D): 7.3s acquisition time for each time frame, 80kV, 1mA, 10 frames in total. Scan 2 (3D): 40s total acquisition time, 80kV, 0.9mA.

Processing and reconstruction protocol: Scan 1: 0.24 mm isotropic voxel size. Scan 2: 0.12 mm isotropic voxel size.

Biomarker or contrast agent: Continuous infusion of Iomeron(TM), 200 mgI/ml, infusion speed 10 mL/h

CASE 7: High workflow ex-vivo CT study of skeleton

workimg
  • Courtesy of: S. Soussoko - Laetoli Productions / D. Brasse - IPHC CNRS Strasbourg

Research objective: Reconstitution of skeleton of Caribbean fruit bat

Animal model: Brachyphylla cavernarum. Dimensions: Skull length = 3 cm, Body length = 8.5 cm (incl. tail)

Acquisition protocol: 112 s acquisition time, 80 kVp, 1 mA, 1 bed position per plate, 6 acquisitions (complete skeleton), Total scan time < 12 min

Processing and reconstruction protocol: 0.06 mm isotropic voxel size